Home Browse Text SearchFunctional Group SearchStructure SearchPreferences Administration

selected data collection: 1

IRIS SDF: browse content


1
  <<    <    >    >>  

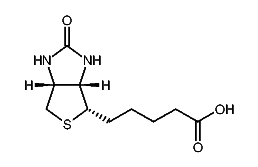
1:704674 C10H16N2O3S
hit structure
1:704675 C7H19N3
hit structure
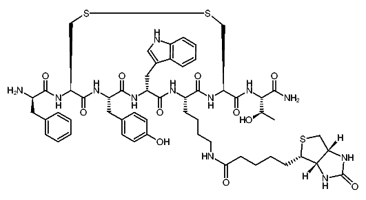
1:704676 C51H70N10O15S2
hit structure
1:704677 C51H61F9N10O15S2
hit structure
1:704678 C55H72N12O11S3
hit structure
1:704679 C90H106N12O13S3
hit structure
1:704680 C16H28N4O4S
hit structure
1:704681 C46H50N10O9
hit structure
1:704682 C55H65N7O12
hit structure
1:704683 C51H53N7O16
hit structure
1:704684 C48H63N13O10
hit structure
1:704685 C23H34N4O4S3
hit structure
1:704686 C14H20N4O4
hit structure
1:704687 C16H15N5
hit structure
1:704688 C27H38D6O2
hit structure
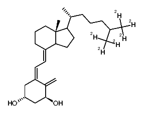
1:704689 C27H40D6O2
hit structure
1:704690 C27H38D6O
hit structure
1:704691 C27H38D6O2
hit structure
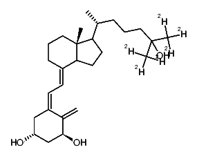
1:704692 C27H38D6O3
hit structure
1:704693 C27H41D3O
hit structure
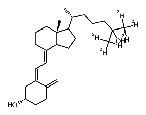
1:704694 C27H38D6O
hit structure
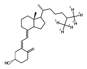
1:704695 C27H40D6O
hit structure
1:704696 C28H38D6O2
hit structure
1:704697 C28H38D6O2
hit structure
1:704698 C28H38D6O3
hit structure

1
  <<    <    >    >>  

entries in data collection: 706650