Home Browse Text SearchFunctional Group SearchStructure SearchPreferences Administration

selected data collection: 1

IRIS SDF: browse content


1
  <<    <    >    >>  

1:704161 C14H26N2O4
hit structure
1:704162 C16H30N2O4
hit structure
1:704163 C7H13NO2
hit structure
1:704164 C16H30N2O4
hit structure
1:704165 C14H22N2O4
hit structure
1:704166 C14H22N2O4
hit structure
1:704167 C18H30N2O4
hit structure
1:704168 C6H13NO2
hit structure
1:704169 C7H15NO2
hit structure
1:704170 C8H17NO2
hit structure
1:704171 C9H19NO2
hit structure
1:704172 C7H15NO2
hit structure
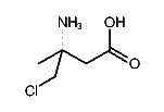
1:704173 C5H10ClNO2
hit structure
1:704174 C6H11NO2
hit structure
1:704175 C9H17NO2
hit structure
1:704176 C10H19NO2
hit structure
1:704177 C7H15NO2
hit structure
1:704178 C7H13NO2
hit structure
1:704179 C7H13NO3
hit structure
1:704180 C5H9NO2
hit structure
1:704181 C6H11NO2
hit structure
1:704182 C9H11NO2
hit structure
1:704183 C9H11NO2
hit structure
1:704184 C14H21N7O4
hit structure
1:704185 C6H10F3NO2
hit structure

1
  <<    <    >    >>  

entries in data collection: 712280