Home Browse Text SearchFunctional Group SearchStructure SearchPreferences Administration

selected data collection: 1

IRIS SDF: browse content


1
  <<    <    >    >>  

1:704137 C14H22N2O4
hit structure
1:704138 C18H30N2O4
hit structure
1:704139 C7H13NO2
hit structure
1:704140 C6H13NO2
hit structure
1:704141 C7H15NO2
hit structure
1:704142 C8H17NO2
hit structure
1:704143 C9H19NO2
hit structure
1:704144 C7H15NO2
hit structure
1:704145 C6H13NO2
hit structure
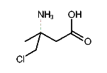
1:704146 C5H10ClNO2
hit structure
1:704147 C9H17NO2
hit structure
1:704148 C10H19NO2
hit structure
1:704149 C7H15NO2
hit structure
1:704150 C7H13NO2
hit structure
1:704151 C7H13NO3
hit structure
1:704152 C5H9NO2
hit structure
1:704153 C6H11NO2
hit structure
1:704154 C16H26N2O4
hit structure
1:704155 C16H22N2O4
hit structure
1:704156 C18H34N2O4
hit structure
1:704157 C18H30N2O4
hit structure
1:704158 C8H15NO2
hit structure
1:704159 C7H13NO2
hit structure
1:704160 C12H18N2O4
hit structure
1:704161 C14H26N2O4
hit structure

1
  <<    <    >    >>  

entries in data collection: 708347