Home Browse Text SearchFunctional Group SearchStructure SearchPreferences Administration

selected data collection: 1

IRIS SDF: browse content


1
  <<    <    >    >>  

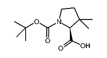
1:701670 C14H25NO4
hit structure
1:701671 C12H21NO4
hit structure
1:701672 C12H21NO4
hit structure
1:701673 C21H25NO5
hit structure
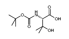
1:701674 C9H15NO4
hit structure
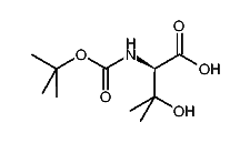
1:701675 C9H15NO4
hit structure
1:701676 C17H25N3O8S
hit structure
1:701677 C11H21NO5
hit structure
1:701678 C10H19NO5
hit structure
1:701679 C10H19NO5
hit structure
1:701680 C12H21NO4
hit structure
1:701681 C12H21NO4
hit structure
1:701682 C16H23NO4
hit structure
1:701683 C9H14F3NO4
hit structure
1:701684 C9H14F3NO4
hit structure
1:701685 C8H12F2KNO4
hit structure
1:701686 C11H16F3NO4
hit structure
1:701687 C10H16FNO4
hit structure
1:701688 C10H16FNO4
hit structure
1:701689 C10H15F2NO4
hit structure
1:701690 C26H30N2O6
hit structure
1:701691 C24H28N2O6
hit structure
1:701692 C14H17F2NO4
hit structure
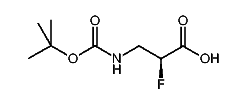
1:701693 C8H14FNO4
hit structure
1:701694 C8H14FNO4
hit structure

1
  <<    <    >    >>  

entries in data collection: 706650