Home Browse Text SearchFunctional Group SearchStructure SearchPreferences Administration

selected data collection: 1

IRIS SDF: browse content


1
  <<    <    >    >>  

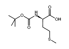
1:701495 C10H19NO4S
hit structure
1:701496 C14H18FNO4
hit structure
1:701497 C14H17Cl2NO4
hit structure
1:701498 C14H17F2NO4
hit structure
1:701499 C14H18FNO4
hit structure
1:701500 C14H18INO4
hit structure
1:701501 C14H18BrNO4
hit structure
1:701502 C14H18FNO4
hit structure
1:701503 C15H21NO4
hit structure
1:701504 C14H20N2O4
hit structure
1:701505 C29H30N2O6
hit structure
1:701506 C14H18N2O6
hit structure
1:701507 C14H14F5NO4
hit structure
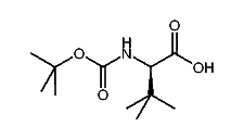
1:701508 C10H15NO4
hit structure
1:701509 C16H23NO5
hit structure
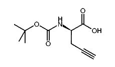
1:701510 C11H21NO4
hit structure
1:701511 C21H23Cl2NO5
hit structure
1:701512 C21H25NO5
hit structure
1:701513 C18H21NO4
hit structure
1:701514 C9H17NO4
hit structure
1:701515 C16H21NO4
hit structure
1:701516 C18H21NO4
hit structure
1:701517 C13H18N2O4
hit structure
1:701518 C21H34N4O7S
hit structure
1:701519 C16H21NO6
hit structure

1
  <<    <    >    >>  

entries in data collection: 706650