Home Browse Text SearchFunctional Group SearchStructure SearchPreferences Administration

selected data collection: 1

IRIS SDF: browse content


1
  <<    <    >    >>  

1:701420 C10H19NO4
hit structure
1:701421 C11H19NO4
hit structure
1:701422 C18H23N3O6S
hit structure
1:701423 C17H19N5O8
hit structure
1:701424 C17H24N2O6
hit structure
1:701425 C12H20N2O6
hit structure
1:701426 C12H20N2O6
hit structure
1:701427 C10H17BrN2O5
hit structure
1:701428 C14H18N4O8
hit structure
1:701429 C16H22N2O6
hit structure
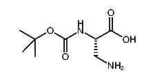
1:701430 C8H16N2O4
hit structure
1:701431 C22H24N2O6
hit structure
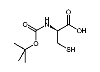
1:701432 C8H15NO4S
hit structure
1:701433 C19H30N2O6
hit structure
1:701434 C12H20N2O6
hit structure
1:701435 C12H20N2O6
hit structure
1:701436 C18H28N2O6
hit structure
1:701437 C14H18N4O8
hit structure
1:701438 C16H22N2O6
hit structure
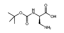
1:701439 C8H16N2O4
hit structure
1:701440 C23H26N2O6
hit structure
1:701441 C25H30N2O6
hit structure
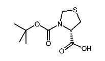
1:701442 C9H15NO4S
hit structure
1:701443 C17H20N2O4
hit structure
1:701444 C19H30N2O6
hit structure

1
  <<    <    >    >>  

entries in data collection: 706650