Home Browse Text SearchFunctional Group SearchStructure SearchPreferences Administration

selected data collection: 1

IRIS SDF: browse content


1
  <<    <    >    >>  

1:699182 C7H14Fe3O6
hit structure
1:699183 CH4
hit structure
1:699184 C5H15N
hit structure
1:699185 C43H79N3O13
hit structure
1:699186 C47H82N4O15
hit structure
1:699187 C31H57NO7
hit structure
1:699188 C22H42O4
hit structure
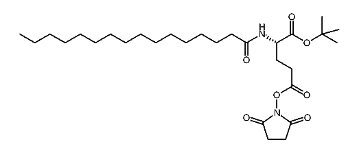
1:699189 C29H50N2O7
hit structure
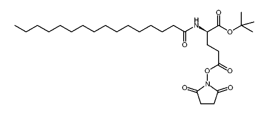
1:699190 C29H50N2O7
hit structure
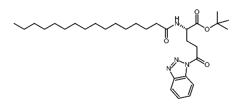
1:699191 C26H44N2O7
hit structure
1:699192 C10H15NO6
hit structure
1:699193 C17H23NO4
hit structure
1:699194 C17H29NO4
hit structure
1:699195 C17H24N2O4
hit structure
1:699196 C17H23NO5
hit structure
1:699197 C17H23NO4S
hit structure
1:699198 C18H25NO4
hit structure
1:699199 C27H25NO4
hit structure
1:699200 C27H31NO4
hit structure
1:699201 C31H50N4O4
hit structure
1:699202 C25H47NO5
hit structure
1:699203 C8H14N2O2S2
hit structure
1:699204 C36H44N4O9S2
hit structure
1:699205 C29H53NO7
hit structure
1:699206 C33H56N2O9
hit structure

1
  <<    <    >    >>  

entries in data collection: 701020