Home Browse Text SearchFunctional Group SearchStructure SearchPreferences Administration

selected data collection: 1

IRIS SDF: browse content


1
  <<    <    >    >>  

1:699032 C26H30N2O8
hit structure
1:699033 C49H48N4O8
hit structure
1:699034 C30H38N2O8
hit structure
1:699035 C30H38N2O8
hit structure
1:699036 C35H47N3O10
hit structure
1:699037 C29H36N2O8S
hit structure
1:699038 C33H36N2O8
hit structure
1:699039 C31H40N2O9
hit structure
1:699040 C32H42N2O9
hit structure
1:699041 C40H45N3O10
hit structure
1:699042 C37H44N2O9
hit structure
1:699043 C29H36N2O8
hit structure
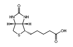
1:699044 C10H16N2O3S
hit structure
1:699045 C7H19N3
hit structure
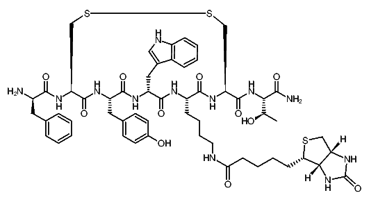
1:699046 C51H70N10O15S2
hit structure
1:699047 C51H61F9N10O15S2
hit structure
1:699048 C55H72N12O11S3
hit structure
1:699049 C90H106N12O13S3
hit structure
1:699050 C16H28N4O4S
hit structure
1:699051 C46H50N10O9
hit structure
1:699052 C55H65N7O12
hit structure
1:699053 C51H53N7O16
hit structure
1:699054 C48H63N13O10
hit structure
1:699055 C23H34N4O4S3
hit structure
1:699056 C14H20N4O4
hit structure

1
  <<    <    >    >>  

entries in data collection: 701020