Home Browse Text SearchFunctional Group SearchStructure SearchPreferences Administration

selected data collection: 1

IRIS SDF: browse content


1
  <<    <    >    >>  

1:698535 C14H22N2O4
hit structure
1:698536 C14H22N2O4
hit structure
1:698537 C18H30N2O4
hit structure
1:698538 C6H13NO2
hit structure
1:698539 C7H15NO2
hit structure
1:698540 C8H17NO2
hit structure
1:698541 C9H19NO2
hit structure
1:698542 C7H15NO2
hit structure
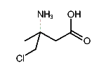
1:698543 C5H10ClNO2
hit structure
1:698544 C6H11NO2
hit structure
1:698545 C9H17NO2
hit structure
1:698546 C10H19NO2
hit structure
1:698547 C7H15NO2
hit structure
1:698548 C7H13NO2
hit structure
1:698549 C7H13NO3
hit structure
1:698550 C5H9NO2
hit structure
1:698551 C6H11NO2
hit structure
1:698552 C9H11NO2
hit structure
1:698553 C9H11NO2
hit structure
1:698554 C14H21N7O4
hit structure
1:698555 C6H10F3NO2
hit structure
1:698556 C12H12F3NO3
hit structure
1:698557 C12H12F3NO3
hit structure
1:698558 C13H18N2O4
hit structure
1:698559 C22H19N3O2S
hit structure

1
  <<    <    >    >>  

entries in data collection: 701020