Home Browse Text SearchFunctional Group SearchStructure SearchPreferences Administration

selected data collection: 1

IRIS SDF: browse content


1
  <<    <    >    >>  

1:693782 C7H15N3O3
hit structure
1:693783 C15H31NO8
hit structure
1:693784 C19H39NO8
hit structure
1:693785 C24H51NO12
hit structure
1:693786 C45H69NO14
hit structure
1:693787 C8H19NO4
hit structure
1:693788 C16H33N3O7
hit structure
1:693789 C16H35NO8
hit structure
1:693790 C27H55NO14
hit structure
1:693791 C31H63NO14
hit structure
1:693792 C51H103NO26
hit structure
1:693793 C55H111NO26
hit structure
1:693794 C11H23NO4
hit structure
1:693795 C11H23NO6
hit structure
1:693796 C15H31NO6
hit structure
1:693797 C19H39NO10
hit structure
1:693798 C23H47NO10
hit structure
1:693799 C24H49N3O12
hit structure
1:693800 C31H56N4O16
hit structure
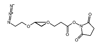
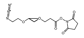
1:693801 C15H24N4O8
hit structure
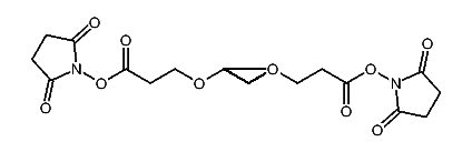
1:693802 C23H40N4O12
hit structure
1:693803 C21H39N5O7S
hit structure
1:693804 C14H26O9
hit structure
1:693805 C22H32N2O13
hit structure
1:693806 C30H48N2O17
hit structure

1
  <<    <    >    >>  

entries in data collection: 723540