Home Browse Text SearchFunctional Group SearchStructure SearchPreferences Administration

selected data collection: 1

IRIS SDF: browse content


1
  <<    <    >    >>  

1:69294 C7H13NO2
hit structure
1:69295 C12H18N2O4
hit structure
1:69296 C14H26N2O4
hit structure
1:69297 C16H30N2O4
hit structure
1:69298 C7H13NO2
hit structure
1:69299 C16H30N2O4
hit structure
1:69300 C14H22N2O4
hit structure
1:69301 C14H22N2O4
hit structure
1:69302 C18H30N2O4
hit structure
1:69303 C6H13NO2
hit structure
1:69304 C7H15NO2
hit structure
1:69305 C8H17NO2
hit structure
1:69306 C9H19NO2
hit structure
1:69307 C7H15NO2
hit structure
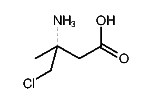
1:69308 C5H10ClNO2
hit structure
1:69309 C6H11NO2
hit structure
1:69310 C9H17NO2
hit structure
1:69311 C10H19NO2
hit structure
1:69312 C7H15NO2
hit structure
1:69313 C7H13NO2
hit structure
1:69314 C7H13NO3
hit structure
1:69315 C5H9NO2
hit structure
1:69316 C6H11NO2
hit structure
1:69317 C9H11NO2
hit structure
1:69318 C9H11NO2
hit structure

1
  <<    <    >    >>  

entries in data collection: 96378