Home Browse Text SearchFunctional Group SearchStructure SearchPreferences Administration

selected data collection: 1

IRIS SDF: browse content


1
  <<    <    >    >>  

1:692882 C8H17NO2
hit structure
1:692883 C9H19NO2
hit structure
1:692884 C7H15NO2
hit structure
1:692885 C6H13NO2
hit structure
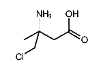
1:692886 C5H10ClNO2
hit structure
1:692887 C9H17NO2
hit structure
1:692888 C10H19NO2
hit structure
1:692889 C7H15NO2
hit structure
1:692890 C7H13NO2
hit structure
1:692891 C7H13NO3
hit structure
1:692892 C5H9NO2
hit structure
1:692893 C6H11NO2
hit structure
1:692894 C16H26N2O4
hit structure
1:692895 C16H22N2O4
hit structure
1:692896 C18H34N2O4
hit structure
1:692897 C18H30N2O4
hit structure
1:692898 C8H15NO2
hit structure
1:692899 C7H13NO2
hit structure
1:692900 C12H18N2O4
hit structure
1:692901 C14H26N2O4
hit structure
1:692902 C16H30N2O4
hit structure
1:692903 C7H13NO2
hit structure
1:692904 C16H30N2O4
hit structure
1:692905 C14H22N2O4
hit structure
1:692906 C14H22N2O4
hit structure

1
  <<    <    >    >>  

entries in data collection: 706650