Home Browse Text SearchFunctional Group SearchStructure SearchPreferences Administration

selected data collection: 1

IRIS SDF: browse content


1
  <<    <    >    >>  

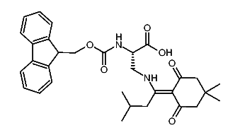
1:691304 C28H30N2O6
hit structure
1:691305 C24H20N4O8
hit structure
1:691306 C31H36N2O6
hit structure
1:691307 C38H34N2O4
hit structure
1:691308 C26H24N2O6
hit structure
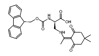
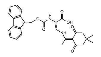
1:691309 C18H18N2O4
hit structure
1:691310 C19H18N2O5
hit structure
1:691311 C18H17NO4S
hit structure
1:691312 C19H20N2O4
hit structure
1:691313 C25H22N4O8
hit structure
1:691314 C32H38N2O6
hit structure
1:691315 C39H36N2O4
hit structure
1:691316 C27H26N2O6
hit structure
1:691317 C28H30N2O6
hit structure
1:691318 C31H36N2O6
hit structure
1:691319 C38H34N2O4
hit structure
1:691320 C26H24N2O6
hit structure
1:691321 C18H18N2O4
hit structure
1:691322 C20H20N2O5
hit structure
1:691323 C27H25NO6
hit structure
1:691324 C31H36N2O6
hit structure
1:691325 C27H26N4O8
hit structure
1:691326 C34H42N2O6
hit structure
1:691327 C20H21NO5S
hit structure
1:691328 C20H21NO6S
hit structure

1
  <<    <    >    >>  

entries in data collection: 717910