Home Browse Text SearchFunctional Group SearchStructure SearchPreferences Administration

selected data collection: 1

IRIS SDF: browse content


1
  <<    <    >    >>  

1:684534 C17H24N2O6
hit structure
1:684535 C12H20N2O6
hit structure
1:684536 C12H20N2O6
hit structure
1:684537 C10H17BrN2O5
hit structure
1:684538 C14H18N4O8
hit structure
1:684539 C16H22N2O6
hit structure
1:684540 C8H16N2O4
hit structure
1:684541 C22H24N2O6
hit structure
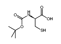
1:684542 C8H15NO4S
hit structure
1:684543 C19H30N2O6
hit structure
1:684544 C12H20N2O6
hit structure
1:684545 C12H20N2O6
hit structure
1:684546 C18H28N2O6
hit structure
1:684547 C14H18N4O8
hit structure
1:684548 C16H22N2O6
hit structure
1:684549 C8H16N2O4
hit structure
1:684550 C23H26N2O6
hit structure
1:684551 C25H30N2O6
hit structure
1:684552 C9H15NO4S
hit structure
1:684553 C17H20N2O4
hit structure
1:684554 C19H30N2O6
hit structure
1:684555 C15H20N4O8
hit structure
1:684556 C18H28N2O6
hit structure
1:684557 C11H19NO4
hit structure
1:684558 C20H32N2O6
hit structure

1
  <<    <    >    >>  

entries in data collection: 706650