Home Browse Text SearchFunctional Group SearchStructure SearchPreferences Administration

selected data collection: 1

IRIS SDF: browse content


1
  <<    <    >    >>  

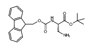
1:67944 C21H24N2O4
hit structure
1:67945 C21H22N4O4
hit structure
1:67946 C18H16N4O4
hit structure
1:67947 C23H27NO5
hit structure
1:67948 C21H22N4O4
hit structure
1:67949 C19H17NO5
hit structure
1:67950 C24H20N4O4
hit structure
1:67951 C24H20N4O4
hit structure
1:67952 C18H17NO7S
hit structure
1:67953 C25H29NO6
hit structure
1:67954 C26H23N3O7
hit structure
1:67955 C33H28N2O6
hit structure
1:67956 C22H21N3O4
hit structure
1:67957 C22H21N3O4
hit structure
1:67958 C25H23NO4
hit structure
1:67959 C27H22N2O5
hit structure
1:67960 C24H27NO6
hit structure
1:67961 C23H25NO6
hit structure
1:67962 C26H32N2O6
hit structure
1:67963 C22H24N2O5
hit structure
1:67964 C18H18N2O4
hit structure
1:67965 C19H18N4O4
hit structure
1:67966 C19H18N4O4
hit structure
1:67967 C22H26N2O4
hit structure
1:67968 C20H18N4O4
hit structure

1
  <<    <    >    >>  

entries in data collection: 116506