Home Browse Text SearchFunctional Group SearchStructure SearchPreferences Administration

selected data collection: 1

IRIS SDF: browse content


1
  <<    <    >    >>  

1:677265 C32H34N2O5S
hit structure
1:677266 C32H34N2O5S
hit structure
1:677267 C25H45N3O10S
hit structure
1:677268 C30H36O6S
hit structure
1:677269 C12H25N3O6
hit structure
1:677270 C27H32O4S
hit structure
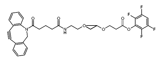
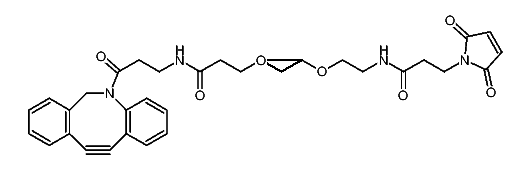
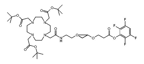
1:677271 C37H38F4N2O8
hit structure
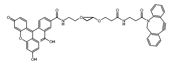
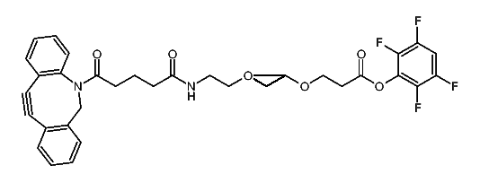
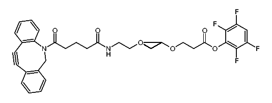
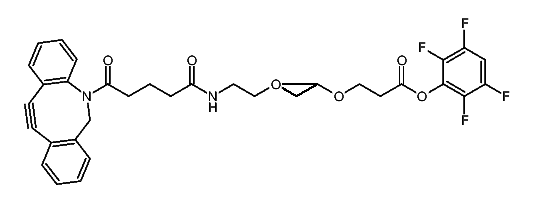
1:677272 C53H70F4N2O16
hit structure
1:677273 C77H118F4N2O28
hit structure
1:677274 C101H166F4N2O40
hit structure
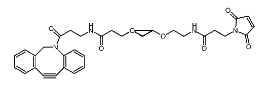
1:677275 C52H74N4O17
hit structure
1:677276 C76H122N4O29
hit structure
1:677277 C31H38BrN3O7
hit structure
1:677278 C25H37N7O6S
hit structure
1:677279 C47H70BrN3O15
hit structure
1:677280 C23H38N4O6S
hit structure
1:677281 C71H118BrN3O27
hit structure
1:677282 C11H17NO5
hit structure
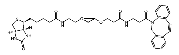
1:677283 C55H83N5O16S
hit structure
1:677284 C33H45N3O12
hit structure
1:677285 C66H79N3O20
hit structure
1:677286 C13H28N2O5
hit structure
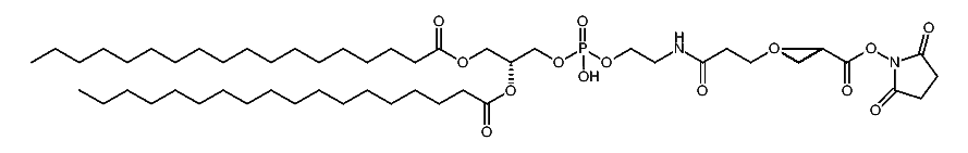
1:677287 C75H141N2O26P
hit structure
1:677288 C45H73F4N5O13
hit structure
1:677289 C69H136NO22P
hit structure

1
  <<    <    >    >>  

entries in data collection: 678500