Home Browse Text SearchFunctional Group SearchStructure SearchPreferences Administration

selected data collection: 1

IRIS SDF: browse content


1
  <<    <    >    >>  

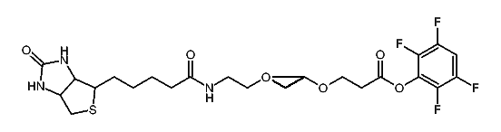
1:677215 C37H45F4N5O13
hit structure
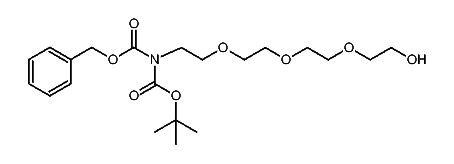
1:677216 C43H69F4N3O16S
hit structure
1:677217 C18H34N4O6S
hit structure
1:677218 C14H26N4O6
hit structure
1:677219 C25H30N2O8
hit structure
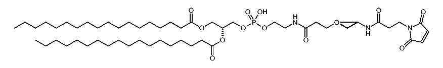
1:677220 C59H116NO17P
hit structure
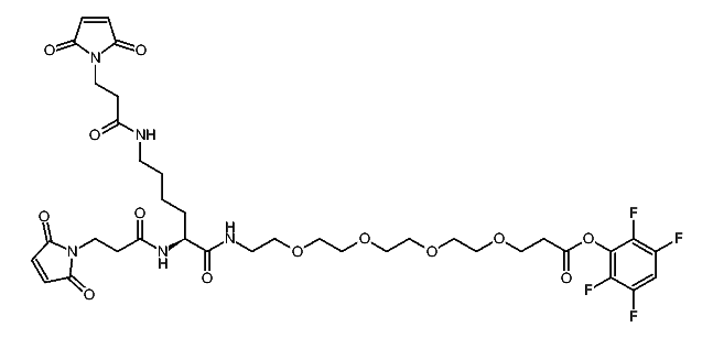
1:677221 C75H140N3O24P
hit structure
1:677222 C25H44N4O8S
hit structure
1:677223 C10H18N4O5
hit structure
1:677224 C10H21N3O5
hit structure
1:677225 C16H34O8S
hit structure
1:677226 C10H22N4O4
hit structure
1:677227 C4H9N3O2
hit structure
1:677228 C4H9N3O2
hit structure
1:677229 C4H9N3O2
hit structure
1:677230 C4H9N3O2
hit structure
1:677231 C21H25NO5
hit structure
1:677232 C23H29NO6
hit structure
1:677233 C21H33NO8
hit structure
1:677234 C10H19N3O4
hit structure
1:677235 C8H15N3O5
hit structure
1:677236 C18H27NO9
hit structure
1:677237 C11H21NO4
hit structure
1:677238 C18H26N2O7
hit structure
1:677239 C4H10O2S
hit structure

1
  <<    <    >    >>  

entries in data collection: 684130