Home Browse Text SearchFunctional Group SearchStructure SearchPreferences Administration

selected data collection: 1

IRIS SDF: browse content


1
  <<    <    >    >>  

1:677143 C65H119N5O28S
hit structure
1:677144 C26H48N6O9S
hit structure
1:677145 C34H64N6O13S
hit structure
1:677146 C58H112N6O25S
hit structure
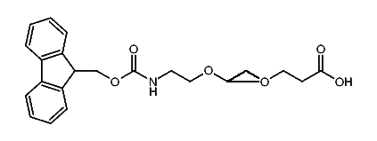
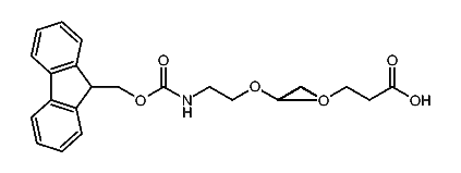
1:677147 C24H29NO7
hit structure
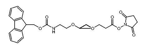
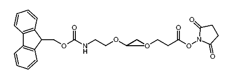
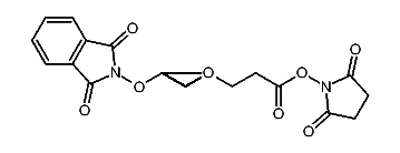
1:677148 C28H37NO9
hit structure
1:677149 C90H161NO40
hit structure
1:677150 C30H36N2O10
hit structure
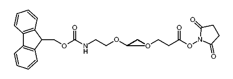
1:677151 C38H52N2O14
hit structure
1:677152 C46H68N2O18
hit structure
1:677153 C42H59N5O11S
hit structure
1:677154 C58H91N5O19S
hit structure
1:677155 C56H111NO28
hit structure
1:677156 C80H159NO40
hit structure
1:677157 C83H157NO40
hit structure
1:677158 C47H70O15S
hit structure
1:677159 C39H60N2O19
hit structure
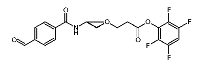
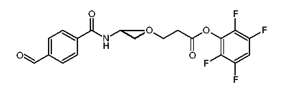
1:677160 C26H29NO4
hit structure
1:677161 C29H60N2O14
hit structure
1:677162 C34H66N4O14S
hit structure
1:677163 C41H59F4NO16
hit structure
1:677164 C65H107F4NO28
hit structure
1:677165 C34H65N3O13S2
hit structure
1:677166 C12H15NO5
hit structure
1:677167 C16H20N2O2S4
hit structure

1
  <<    <    >    >>  

entries in data collection: 678500