Home Browse Text SearchFunctional Group SearchStructure SearchPreferences Administration

selected data collection: 1

IRIS SDF: browse content


1
  <<    <    >    >>  

1:676931 C30H47N3O15
hit structure
1:676932 C41H71N5O16S
hit structure
1:676933 C58H108N2O29
hit structure
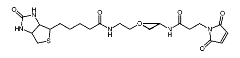
1:676934 C27H43N5O8S
hit structure
1:676935 C26H44N2O13
hit structure
1:676936 C10H20O6
hit structure
1:676937 C18H36O10
hit structure
1:676938 C6H12O4
hit structure
1:676939 C52H104O27
hit structure
1:676940 C25H53NO12
hit structure
1:676941 C25H51N3O12
hit structure
1:676942 C32H58N2O15
hit structure
1:676943 C49H101NO24
hit structure
1:676944 C56H106N2O27
hit structure
1:676945 C9H21NO4
hit structure
1:676946 C9H19N3O4
hit structure
1:676947 C17H37NO8
hit structure
1:676948 C17H35N3O8
hit structure
1:676949 C49H99N3O24
hit structure
1:676950 C15H33NO7
hit structure
1:676951 C39H54O11S
hit structure
1:676952 C31H38O7S
hit structure
1:676953 C35H61NO16
hit structure
1:676954 C59H109NO28
hit structure
1:676955 C23H37NO10
hit structure

1
  <<    <    >    >>  

entries in data collection: 678500