Home Browse Text SearchFunctional Group SearchStructure SearchPreferences Administration

selected data collection: 1

IRIS SDF: browse content


1
  <<    <    >    >>  

1:676766 C14H30N4O6
hit structure
1:676767 C16H33N3O8
hit structure
1:676768 C31H62O15
hit structure
1:676769 C30H58O17
hit structure
1:676770 C8H15NO5
hit structure
1:676771 C8H15NO5
hit structure
1:676772 C8H15NO5
hit structure
1:676773 C8H17NO4
hit structure
1:676774 C8H17NO4
hit structure
1:676775 C8H17NO4
hit structure
1:676776 C11H21NO5S
hit structure
1:676777 C11H21NO5S
hit structure
1:676778 C11H21NO5S
hit structure
1:676779 C13H25N3O5S
hit structure
1:676780 C13H25N3O5S
hit structure
1:676781 C13H25N3O5S
hit structure
1:676782 C23H27NO6
hit structure
1:676783 C23H27NO6
hit structure
1:676784 C23H27NO6
hit structure
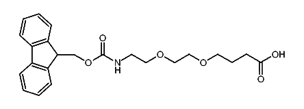
1:676785 C17H28N2O8
hit structure
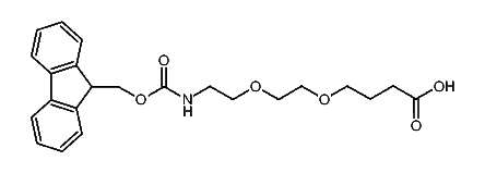
1:676786 C17H28N2O8
hit structure
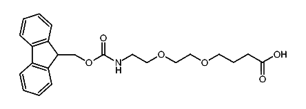
1:676787 C17H28N2O8
hit structure
1:676788 C11H23NO4S
hit structure
1:676789 C11H23NO4S
hit structure
1:676790 C11H23NO4S
hit structure

1
  <<    <    >    >>  

entries in data collection: 678500