Home Browse Text SearchFunctional Group SearchStructure SearchPreferences Administration

selected data collection: 1

IRIS SDF: browse content


1
  <<    <    >    >>  

1:672277 C7H12N4O3
hit structure
1:672278 C8H14N4O3
hit structure
1:672279 C12H22N4O7
hit structure
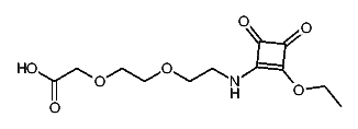
1:672280 C23H28N4O5
hit structure
1:672281 C23H30N2O5
hit structure
1:672282 C27H34N2O8
hit structure
1:672283 C27H34N2O9
hit structure
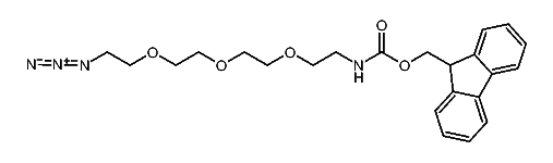
1:672284 C14H22N4O6
hit structure
1:672285 C12H17NO7
hit structure
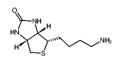
1:672286 C8H15N3O2
hit structure
1:672287 C12H22F6N6OP2
hit structure
1:672288 C12H17NO5Si
hit structure
1:672289 C5H6N2O
hit structure
1:672290 C24H37N5O3S3
hit structure
1:672291 C20H29N5O5S
hit structure
1:672292 C23H33N5O7S
hit structure
1:672293 C22H34N4O5S
hit structure
1:672294 C9H17N3OS
hit structure
1:672295 C20H17Cl
hit structure
1:672296 C6H7ClIN
hit structure
1:672297 C8H9NO2
hit structure
1:672298 C22H20O2S
hit structure
1:672299 C16H15F5N2O3S
hit structure
1:672300 C17H24N6O5
hit structure
1:672301 C18H23N3O5
hit structure

1
  <<    <    >    >>  

entries in data collection: 672870