Home Browse Text SearchFunctional Group SearchStructure SearchPreferences Administration

selected data collection: 1

IRIS SDF: browse content


1
  <<    <    >    >>  

1:667923 C10H15N3O4
hit structure
1:667924 C10H16N4O4
hit structure
1:667925 C10H16N4O4
hit structure
1:667926 C13H17NO4
hit structure
1:667927 C14H19NO4S
hit structure
1:667928 C11H16N2O4
hit structure
1:667929 C15H21NO4
hit structure
1:667930 C18H27NO5
hit structure
1:667931 C10H17NO4S
hit structure
1:667932 C13H17NO4
hit structure
1:667933 C13H17NO4
hit structure
1:667934 C8H15NO5
hit structure
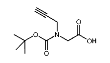
1:667935 C10H17NO4
hit structure
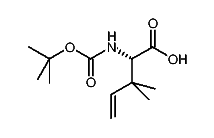
1:667936 C10H15NO4
hit structure
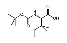
1:667937 C10H17NO4
hit structure
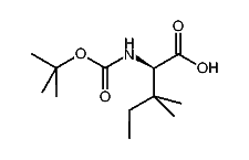
1:667938 C10H17NO4
hit structure
1:667939 C17H27NO4
hit structure
1:667940 C28H38N2O10
hit structure
1:667941 C28H38N2O10
hit structure
1:667942 C30H42N2O8
hit structure
1:667943 C12H23NO4
hit structure
1:667944 C12H23NO4
hit structure
1:667945 C12H21NO4
hit structure
1:667946 C12H21NO4
hit structure
1:667947 C12H21NO4
hit structure

1
  <<    <    >    >>  

entries in data collection: 684130