Home Browse Text SearchFunctional Group SearchStructure SearchPreferences Administration

selected data collection: 1

IRIS SDF: browse content


1
  <<    <    >    >>  

1:667848 C10H19NO4
hit structure
1:667849 C10H19NO4
hit structure
1:667850 C19H21NO4
hit structure
1:667851 C13H24N2O5S2
hit structure
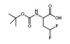
1:667852 C9H15F2NO4
hit structure
1:667853 C14H28N2O4
hit structure
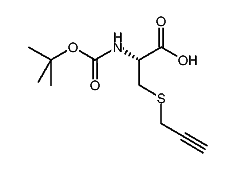
1:667854 C11H17NO4S
hit structure
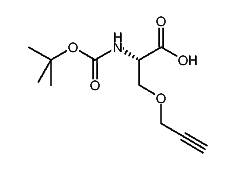
1:667855 C10H15NO5
hit structure
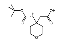
1:667856 C11H17NO5
hit structure
1:667857 C17H21NO5
hit structure
1:667858 C14H19NO4
hit structure
1:667859 C14H19NO4
hit structure
1:667860 C14H19NO4
hit structure
1:667861 C22H34N2O8
hit structure
1:667862 C12H21NO4
hit structure
1:667863 C13H23NO4
hit structure
1:667864 C14H25NO4
hit structure
1:667865 C15H27NO4
hit structure
1:667866 C12H21NO5
hit structure
1:667867 C10H17NO4
hit structure
1:667868 C11H19NO4
hit structure
1:667869 C12H21NO4
hit structure
1:667870 C22H38N2O8
hit structure
1:667871 C26H42N2O8
hit structure
1:667872 C26H38N2O8
hit structure

1
  <<    <    >    >>  

entries in data collection: 684130