Home Browse Text SearchFunctional Group SearchStructure SearchPreferences Administration

selected data collection: 1

IRIS SDF: browse content


1
  <<    <    >    >>  

1:667392 C19H23N3O4
hit structure
1:667393 C26H26N4O8
hit structure
1:667394 C34H34N4O5
hit structure
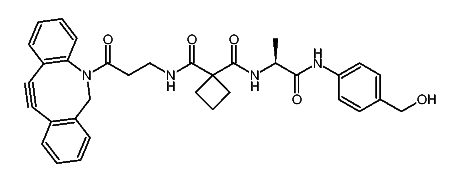
1:667395 C41H37N5O9
hit structure
1:667396 C20H30ClN3O4
hit structure
1:667397 C30H32ClN3O4
hit structure
1:667398 C21H31ClN6O3
hit structure
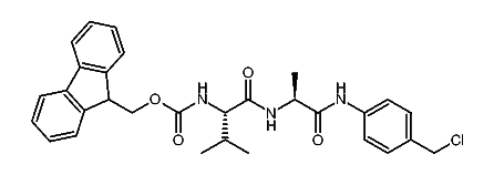
1:667399 C20H26ClN3O3
hit structure
1:667400 C25H33ClN4O5
hit structure
1:667401 C20H29ClN6O4
hit structure
1:667402 C23H32ClN3O5
hit structure
1:667403 C27H30N4O6
hit structure
1:667404 C34H33N5O10
hit structure
1:667405 C30H36N6O7
hit structure
1:667406 C37H39N7O11
hit structure
1:667407 C32H39N5O8
hit structure
1:667408 C39H42N6O12
hit structure
1:667409 C13H14O5
hit structure
1:667410 C20H17NO9
hit structure
1:667411 C42H54N6O9
hit structure
1:667412 C49H57N7O13
hit structure
1:667413 C39H48N4O8
hit structure
1:667414 C46H51N5O12
hit structure
1:667415 C19H27N3O5
hit structure
1:667416 C22H33N5O6
hit structure

1
  <<    <    >    >>  

entries in data collection: 672870