Home Browse Text SearchFunctional Group SearchStructure SearchPreferences Administration

selected data collection: 1

IRIS SDF: browse content


1
  <<    <    >    >>  

1:66519 C11H19NO4
hit structure
1:66520 C13H18N2O4
hit structure
1:66521 C8H15NO4
hit structure
1:66522 C11H21N5O6
hit structure
1:66523 C24H38N4O7S
hit structure
1:66524 C18H28N4O6S
hit structure
1:66525 C11H22N4O4
hit structure
1:66526 C22H24N2O6
hit structure
1:66527 C9H16N2O5
hit structure
1:66528 C12H19NO6
hit structure
1:66529 C16H21NO6
hit structure
1:66530 C15H25NO6
hit structure
1:66531 C13H23NO6
hit structure
1:66532 C13H23NO6
hit structure
1:66533 C13H23NO6
hit structure
1:66534 C11H20N2O5S
hit structure
1:66535 C15H21NO4S
hit structure
1:66536 C16H23NO4S
hit structure
1:66537 C16H23NO5S
hit structure
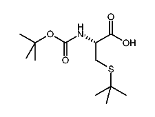
1:66538 C12H23NO4S
hit structure
1:66539 C16H27NO6
hit structure
1:66540 C16H25N3O6
hit structure
1:66541 C11H17N3O4
hit structure
1:66542 C10H17NO5
hit structure
1:66543 C11H21NO4
hit structure

1
  <<    <    >    >>  

entries in data collection: 131602