Home Browse Text SearchFunctional Group SearchStructure SearchPreferences Administration

selected data collection: 1

IRIS SDF: browse content


1
  <<    <    >    >>  

1:65937 C65H54N2O6
hit structure
1:65938 C66H56N2O6
hit structure
1:65939 C59H53N3O7
hit structure
1:65940 C57(13C)5H63N(15N)4O8S
hit structure
1:65941 C43(13C)6H46N(15N)O5
hit structure
1:65942 C48(13C)6H55N(15N)2O7
hit structure
1:65943 C43(13C)5H44N(15N)O5
hit structure
1:65944 C9H25NO
hit structure
1:65945 C25H30N2
hit structure
1:65946 C21H21NS
hit structure
1:65947 C61H66N4O10
hit structure
1:65948 C46H60N4O13
hit structure
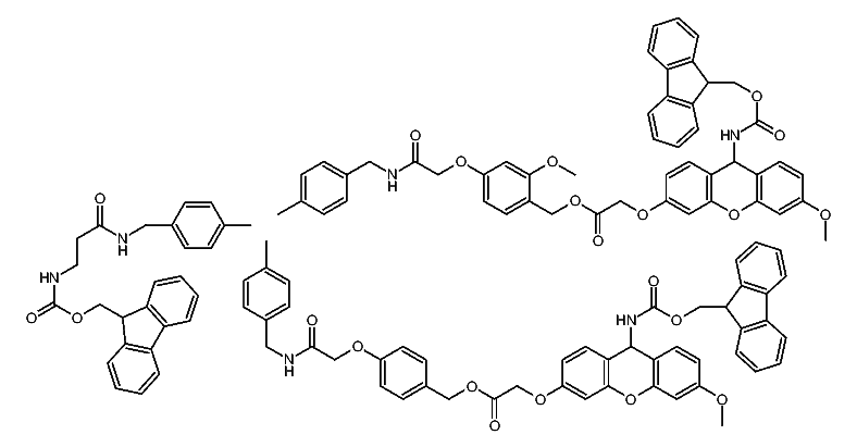
1:65949 C125H120N6O22
hit structure
1:65950 C110H114N6O25
hit structure
1:65951 C96H97N7O14
hit structure
1:65952 C34H33NO5
hit structure
1:65953 C33H31NO5
hit structure
1:65954 C36H37NO5
hit structure
1:65955 C33H31NO5
hit structure
1:65956 C34H33NO5
hit structure
1:65957 C41H46N2O7
hit structure
1:65958 C40H42N2O7
hit structure
1:65959 C46H52N4O7S
hit structure
1:65960 C51H48N2O7
hit structure
1:65961 C35H31NO5
hit structure

1
  <<    <    >    >>  

entries in data collection: 71218