Home Browse Text SearchFunctional Group SearchStructure SearchPreferences Administration

selected data collection: 1

IRIS SDF: browse content


1
  <<    <    >    >>  

1:65487 C16H22N2O7S2
hit structure
1:65488 C19H21NO3S2
hit structure
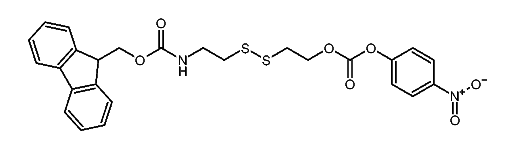
1:65489 C26H24N2O7S2
hit structure
1:65490 C19H14N2O5S2
hit structure
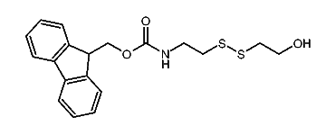
1:65491 C14H21NO3S2
hit structure
1:65492 C21H24N2O7S2
hit structure
1:65493 C24H23NO3S2
hit structure
1:65494 C9H11BrN2O5
hit structure
1:65495 C8H14N2O2S
hit structure
1:65496 C24H20N2O7S
hit structure
1:65497 C16H32ClN3O5
hit structure
1:65498 C9H9N3O2
hit structure
1:65499 C10H19NO5
hit structure
1:65500 C29H35ClN2O4
hit structure
1:65501 C10H22ClNO2
hit structure
1:65502 C14H30ClNO4
hit structure
1:65503 C10H20ClN3O2
hit structure
1:65504 C14H28ClN3O4
hit structure
1:65505 C16H26N2O2
hit structure
1:65506 C16H30N2O2
hit structure
1:65507 C18H34N2O2
hit structure
1:65508 C18H30N2O2
hit structure
1:65509 C29H31NO6
hit structure
1:65510 C30H29NO6
hit structure
1:65511 C28H29NO6
hit structure

1
  <<    <    >    >>  

entries in data collection: 76250