Home Browse Text SearchFunctional Group SearchStructure SearchPreferences Administration

selected data collection: 1

IRIS SDF: browse content


1
  <<    <    >    >>  

1:651087 C12H23NO4
hit structure
1:651088 C12H19N3O4
hit structure
1:651089 C12H19N3O4
hit structure
1:651090 C21H29N3O5
hit structure
1:651091 C23H44N2O5
hit structure
1:651092 C10H17NO4
hit structure
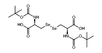
1:651093 C16H28N2O8Se2
hit structure
1:651094 C25H28N2O6
hit structure
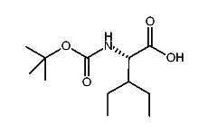
1:651095 C13H25NO4
hit structure
1:651096 C11H21NO5
hit structure
1:651097 C12H17NO5
hit structure
1:651098 C12H17NO5
hit structure
1:651099 C13H23NO4
hit structure
1:651100 C16H23NO5Se
hit structure
1:651101 C16H20F3NO4
hit structure
1:651102 C13H25NO4
hit structure
1:651103 C18H35NO4
hit structure
1:651104 C21H41NO4
hit structure
1:651105 C23H45NO4
hit structure
1:651106 C18H34N2O5
hit structure
1:651107 C18H24N2O6
hit structure
1:651108 C18H22N2O6
hit structure
1:651109 C17H25NO5
hit structure
1:651110 C17H25NO5
hit structure
1:651111 C16H21NO6
hit structure

1
  <<    <    >    >>  

entries in data collection: 655980