Home Browse Text SearchFunctional Group SearchStructure SearchPreferences Administration

selected data collection: 1

IRIS SDF: browse content


1
  <<    <    >    >>  

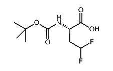
1:650962 C9H15F2NO4
hit structure
1:650963 C14H28N2O4
hit structure
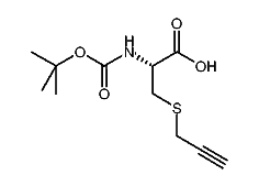
1:650964 C11H17NO4S
hit structure
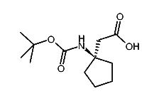
1:650965 C10H15NO5
hit structure
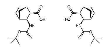
1:650966 C11H17NO5
hit structure
1:650967 C17H21NO5
hit structure
1:650968 C14H19NO4
hit structure
1:650969 C14H19NO4
hit structure
1:650970 C14H19NO4
hit structure
1:650971 C22H34N2O8
hit structure
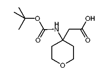
1:650972 C12H21NO4
hit structure
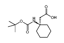
1:650973 C13H23NO4
hit structure
1:650974 C14H25NO4
hit structure
1:650975 C15H27NO4
hit structure
1:650976 C12H21NO5
hit structure
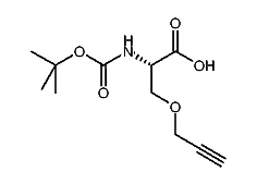
1:650977 C10H17NO4
hit structure
1:650978 C11H19NO4
hit structure
1:650979 C12H21NO4
hit structure
1:650980 C22H38N2O8
hit structure
1:650981 C26H42N2O8
hit structure
1:650982 C26H38N2O8
hit structure
1:650983 C28H50N2O8
hit structure
1:650984 C28H46N2O8
hit structure
1:650985 C24H42N2O8
hit structure
1:650986 C26H46N2O8
hit structure

1
  <<    <    >    >>  

entries in data collection: 655980