Home Browse Text SearchFunctional Group SearchStructure SearchPreferences Administration

selected data collection: 1

IRIS SDF: browse content


1
  <<    <    >    >>  

1:650472 C32H51N5O10
hit structure
1:650473 C39H54N6O14
hit structure
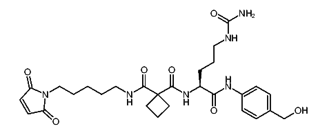
1:650474 C36H55N7O12
hit structure
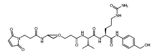
1:650475 C43H58N8O16
hit structure
1:650476 C43H57N7O9
hit structure
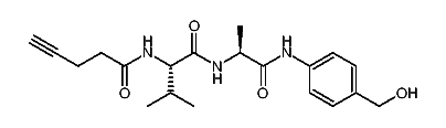
1:650477 C25H34N4O6
hit structure
1:650478 C32H37N5O10
hit structure
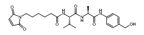
1:650479 C21H32N6O4
hit structure
1:650480 C28H35N7O8
hit structure
1:650481 C20H27N3O4
hit structure
1:650482 C27H30N4O8
hit structure
1:650483 C26H42N6O8
hit structure
1:650484 C33H45N7O12
hit structure
1:650485 C29H45N3O9
hit structure
1:650486 C36H48N4O13
hit structure
1:650487 C33H49N5O11
hit structure
1:650488 C40H52N6O15
hit structure
1:650489 C40H51N5O8
hit structure
1:650490 C28H38N6O7
hit structure
1:650491 C35H41N7O11
hit structure
1:650492 C22H32N8O5
hit structure
1:650493 C29H35N9O9
hit structure
1:650494 C22H29N5O5
hit structure
1:650495 C29H32N6O9
hit structure
1:650496 C37H40N6O6
hit structure

1
  <<    <    >    >>  

entries in data collection: 667240