Home Browse Text SearchFunctional Group SearchStructure SearchPreferences Administration

selected data collection: 1

IRIS SDF: browse content


1
  <<    <    >    >>  

1:643879 C9H16BF4N3O3
hit structure
1:643880 C12H10BrNO5
hit structure
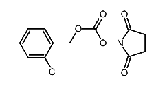
1:643881 C12H10ClNO5
hit structure
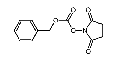
1:643882 C12H11NO5
hit structure
1:643883 C5H12ClF6N2P
hit structure
1:643884 C15H13NO2
hit structure
1:643885 C5H12F7N2P
hit structure
1:643886 C8H8O3
hit structure
1:643887 C5H7N3O3
hit structure
1:643888 C10H16F6N3O2P
hit structure
1:643889 C2H6S2
hit structure
1:643890 C2H6S
hit structure
1:643891 C7H8O
hit structure
1:643892 C7H8S
hit structure
1:643893 C9H22Si
hit structure
1:643894 C10H17BF4N4O3
hit structure
1:643895 C20H17ClO
hit structure
1:643896 C15H12O2
hit structure
1:643897 C10H12O4
hit structure
1:643898 C24H20N2O6
hit structure
1:643899 C12H16O5
hit structure
1:643900 C9H16N2
hit structure
1:643901 C11H14N3O5P
hit structure
1:643902 C14H20F6N3O3P
hit structure
1:643903 C10H16F6N3OPS
hit structure

1
  <<    <    >    >>  

entries in data collection: 644720