Home Browse Text SearchFunctional Group SearchStructure SearchPreferences Administration

selected data collection: 1

IRIS SDF: browse content


1
  <<    <    >    >>  

1:643350 C16H20N2O10
hit structure
1:643351 C18H24N2O11
hit structure
1:643352 C19H37N3O10
hit structure
1:643353 C27H53N3O14
hit structure
1:643354 C51H101N3O26
hit structure
1:643355 C24H49N3O11
hit structure
1:643356 C32H65N3O15
hit structure
1:643357 C65H120N4O30S
hit structure
1:643358 C61H117N3O28S
hit structure
1:643359 C112H218N4O53S
hit structure
1:643360 C26H50N4O9S
hit structure
1:643361 C34H66N4O13S
hit structure
1:643362 C58H114N4O25S
hit structure
1:643363 C65H119N5O28S
hit structure
1:643364 C26H48N6O9S
hit structure
1:643365 C34H64N6O13S
hit structure
1:643366 C58H112N6O25S
hit structure
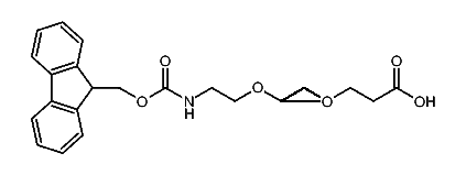
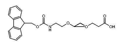
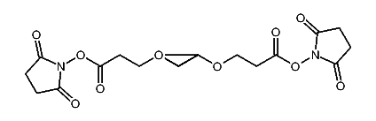
1:643367 C24H29NO7
hit structure
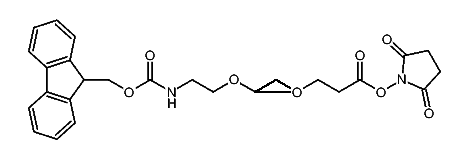
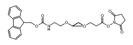
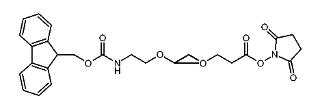
1:643368 C28H37NO9
hit structure
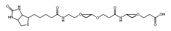
1:643369 C90H161NO40
hit structure
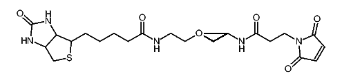
1:643370 C30H36N2O10
hit structure
1:643371 C38H52N2O14
hit structure
1:643372 C46H68N2O18
hit structure
1:643373 C42H59N5O11S
hit structure
1:643374 C58H91N5O19S
hit structure

1
  <<    <    >    >>  

entries in data collection: 650350