Home Browse Text SearchFunctional Group SearchStructure SearchPreferences Administration

selected data collection: 1

IRIS SDF: browse content


1
  <<    <    >    >>  

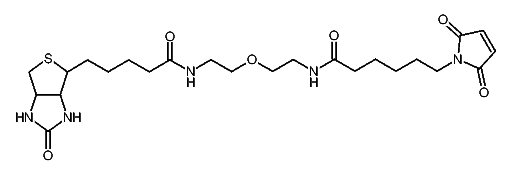
1:642949 C24H37N5O6S
hit structure
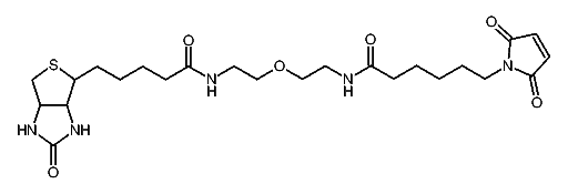
1:642950 C24H37N5O6S
hit structure
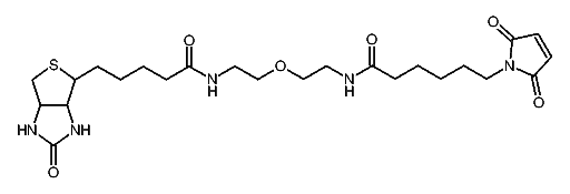
1:642951 C24H37N5O6S
hit structure
1:642952 C37H69N3O16S
hit structure
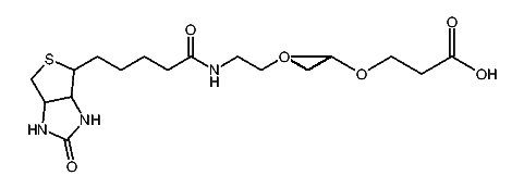
1:642953 C18H31N3O6S
hit structure
1:642954 C18H31N3O6S
hit structure
1:642955 C18H31N3O6S
hit structure
1:642956 C22H34N4O8S
hit structure
1:642957 C22H34N4O8S
hit structure
1:642958 C22H34N4O8S
hit structure
1:642959 C17H26N2O7
hit structure
1:642960 C17H26N2O7
hit structure
1:642961 C17H26N2O7
hit structure
1:642962 C22H31N3O9
hit structure
1:642963 C22H31N3O9
hit structure
1:642964 C22H31N3O9
hit structure
1:642965 C29H60N2O13
hit structure
1:642966 C21H44N2O9
hit structure
1:642967 C9H20N2O3
hit structure
1:642968 C9H20N2O3
hit structure
1:642969 C9H20N2O3
hit structure
1:642970 C25H48N2O13
hit structure
1:642971 C13H25NO6
hit structure
1:642972 C13H25NO6
hit structure
1:642973 C13H25NO6
hit structure

1
  <<    <    >    >>  

entries in data collection: 655980