Home Browse Text SearchFunctional Group SearchStructure SearchPreferences Administration

selected data collection: 1

IRIS SDF: browse content


1
  <<    <    >    >>  

1:637395 C34H38N2O7S
hit structure
1:637396 C34H38N2O7S
hit structure
1:637397 C24H47NO5
hit structure
1:637398 C16H36N2O7
hit structure
1:637399 C70H127N3O35
hit structure
1:637400 C74H129NO32
hit structure
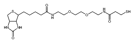
1:637401 C19H34N4O5S2
hit structure
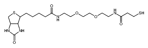
1:637402 C19H34N4O5S2
hit structure
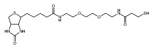
1:637403 C19H34N4O5S2
hit structure
1:637404 C7H15N3O3
hit structure
1:637405 C12H24N2O7
hit structure
1:637406 C54H48N2O6
hit structure
1:637407 C39H41NO7
hit structure
1:637408 C26H25NO5
hit structure
1:637409 C55H47N3O5
hit structure
1:637410 C36H37NO5
hit structure
1:637411 C36H37NO5
hit structure
1:637412 C41H46N2O7
hit structure
1:637413 C35H35NO5S
hit structure
1:637414 C36H37NO5
hit structure
1:637415 C40H44N2O7
hit structure
1:637416 C39H35NO5
hit structure
1:637417 C13H13NO5
hit structure
1:637418 C19H16N2O7
hit structure
1:637419 C19H24N2O7
hit structure

1
  <<    <    >    >>  

entries in data collection: 639090