Home Browse Text SearchFunctional Group SearchStructure SearchPreferences Administration

selected data collection: 1

IRIS SDF: browse content


1
  <<    <    >    >>  

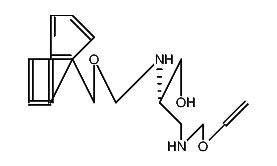
1:6285 C43H41NO7 C43H41NO7 C43H41NO7 C43H41NO7 C4
hit structure
1:6286 Untitled Document
hit structure
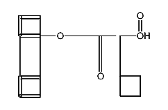
1:6287 C19H28N2O6 C19H28N2O6 C19H28N2O6 C19H28N2O6
hit structure
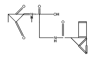
1:6288 C30H34N2O6 C30H34N2O6 C30H34N2O6 C30H34N2O6
hit structure
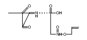
1:6289 C29H32N2O6 C29H32N2O6 C29H32N2O6 C29H32N2O6
hit structure
1:6290 C28H30N2O6 C28H30N2O6 C28H30N2O6 C28H30N2O6
hit structure
1:6291 C20H30N2O6 C20H30N2O6 C20H30N2O6 C20H30N2O6
hit structure
1:6292 C22H21NO6 C22H21NO6 C22H21NO6 C22H21NO6 C2
hit structure
1:6293 C23H25NO6 C23H25NO6 C23H25NO6 C23H25NO6 C2
hit structure
1:6294 C24H27NO4 C24H27NO4 C24H27NO4 C24H27NO4 C2
hit structure
1:6295 C21H23N3O5 C21H23N3O5 C21H23N3O5 C21H23N3O5
hit structure
1:6296 C23H25NO4 C23H25NO4 C23H25NO4 C23H25NO4 C2
hit structure
1:6297 C22H23NO4 C22H23NO4 C22H23NO4 C22H23NO4 C2
hit structure
1:6298 C18H17NO4S C18H17NO4S C18H17NO4S C18H17NO4S
hit structure
1:6299 C23H24N2O6 C23H24N2O6 C23H24N2O6 C23H24N2O6
hit structure
1:6300 C24H28N2O6 C24H28N2O6 C24H28N2O6 C24H28N2O6
hit structure
1:6301 C29H32N2O6 C29H32N2O6 C29H32N2O6 C29H32N2O6
hit structure
1:6302 C22H22N2O6 C22H22N2O6 C22H22N2O6 C22H22N2O6
hit structure
1:6303 C22H25NO4 C22H25NO4 C22H25NO4 C22H25NO4 C2
hit structure
1:6304 C20H21NO4 C20H21NO4 C20H21NO4 C20H21NO4 C2
hit structure
1:6305 C24H26N2O6 C24H26N2O6 C24H26N2O6 C24H26N2O6
hit structure
1:6306 C24H20ClNO4 C24H20ClNO4 C24H20ClNO4 C24H20C
hit structure
1:6307 C23H19NO4 C23H19NO4 C23H19NO4 C23H19NO4 C2
hit structure
1:6308 C21H21NO4 C21H21NO4 C21H21NO4 C21H21NO4 C2
hit structure
1:6309 C25H24NO8P C25H24NO8P C25H24NO8P C25H24NO8P
hit structure

1
  <<    <    >    >>  

entries in data collection: 119234