Home Browse Text SearchFunctional Group SearchStructure SearchPreferences Administration

selected data collection: 1

IRIS SDF: browse content


1
  <<    <    >    >>  

1:626420 C31H65NO15
hit structure
1:626421 C73H149NO36
hit structure
1:626422 C97H197NO48
hit structure
1:626423 C75H151NO38
hit structure
1:626424 C80H154N2O39
hit structure
1:626425 C104H202N2O51
hit structure
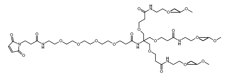
1:626426 C178H346N6O86
hit structure
1:626427 C73H147N3O36
hit structure
1:626428 C27H54O14S
hit structure
1:626429 C9H20O4S
hit structure
1:626430 C17H36O8S
hit structure
1:626431 C25H52O12S
hit structure
1:626432 C19H35NO7S2
hit structure
1:626433 C27H51NO11S2
hit structure
1:626434 C59H115NO27S2
hit structure
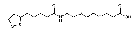
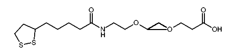
1:626435 C25H41N3O7S2
hit structure
1:626436 C39H69N3O15S2
hit structure
1:626437 C28H50N4O6S3
hit structure
1:626438 C42H78N4O14S3
hit structure
1:626439 C17H33NO5S2
hit structure
1:626440 C25H49NO9S2
hit structure
1:626441 C33H65NO13S2
hit structure
1:626442 C57H113NO25S2
hit structure
1:626443 C33H59NO17S
hit structure
1:626444 C79H159NO38
hit structure

1
  <<    <    >    >>  

entries in data collection: 627830