Home Browse Text SearchFunctional Group SearchStructure SearchPreferences Administration

selected data collection: 1

IRIS SDF: browse content


1
  <<    <    >    >>  

1:622567 C9H17NO4
hit structure
1:622568 C12H23NO4
hit structure
1:622569 C12H23NO4
hit structure
1:622570 C15H21NO4
hit structure
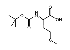
1:622571 C10H19NO4S
hit structure
1:622572 C22H27NO5
hit structure
1:622573 C11H21NO5
hit structure
1:622574 C11H21NO4
hit structure
1:622575 C14H24N2O6
hit structure
1:622576 C15H28N2O6
hit structure
1:622577 C25H30N2O6
hit structure
1:622578 C18H26N2O6
hit structure
1:622579 C10H20N2O4
hit structure
1:622580 C14H18FNO4
hit structure
1:622581 C14H18FNO4
hit structure
1:622582 C14H19NO4
hit structure
1:622583 C13H17NO4
hit structure
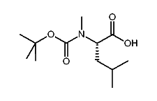
1:622584 C11H19NO4
hit structure
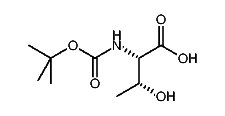
1:622585 C10H17NO4
hit structure
1:622586 C15H21NO5
hit structure
1:622587 C8H15NO5
hit structure
1:622588 C16H23NO5
hit structure
1:622589 C9H17NO5
hit structure
1:622590 C9H15NO4S
hit structure
1:622591 C15H19NO4
hit structure

1
  <<    <    >    >>  

entries in data collection: 627830