Home Browse Text SearchFunctional Group SearchStructure SearchPreferences Administration

selected data collection: 1

IRIS SDF: browse content


1
  <<    <    >    >>  

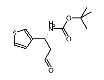
1:622303 C12H17NO3S
hit structure
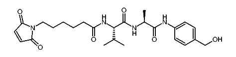
1:622304 C40H42N6O10
hit structure
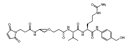
1:622305 C30H40N6O10
hit structure
1:622306 C23H37N5O6
hit structure
1:622307 C33H39N5O6
hit structure
1:622308 C20H31N3O5
hit structure
1:622309 C27H34N4O9
hit structure
1:622310 C30H33N3O5
hit structure
1:622311 C37H36N4O9
hit structure
1:622312 C34H40N6O12
hit structure
1:622313 C37H46N8O13
hit structure
1:622314 C28H40N6O7
hit structure
1:622315 C35H43N7O11
hit structure
1:622316 C24H38N8O5
hit structure
1:622317 C31H41N9O9
hit structure
1:622318 C23H33N5O5
hit structure
1:622319 C30H36N6O9
hit structure
1:622320 C29H48N8O9
hit structure
1:622321 C36H51N9O13
hit structure
1:622322 C32H51N5O10
hit structure
1:622323 C39H54N6O14
hit structure
1:622324 C36H55N7O12
hit structure
1:622325 C43H58N8O16
hit structure
1:622326 C43H57N7O9
hit structure
1:622327 C25H34N4O6
hit structure

1
  <<    <    >    >>  

entries in data collection: 627830