Home Browse Text SearchFunctional Group SearchStructure SearchPreferences Administration

selected data collection: 1

IRIS SDF: browse content


1
  <<    <    >    >>  

1:621606 C16H12N2O6
hit structure
1:621607 C7H12N4O3
hit structure
1:621608 C8H14N4O3
hit structure
1:621609 C12H22N4O7
hit structure
1:621610 C23H28N4O5
hit structure
1:621611 C23H30N2O5
hit structure
1:621612 C27H34N2O8
hit structure
1:621613 C27H34N2O9
hit structure
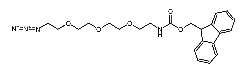
1:621614 C14H22N4O6
hit structure
1:621615 C12H17NO7
hit structure
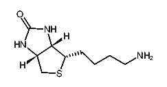
1:621616 C8H15N3O2
hit structure
1:621617 C12H22F6N6OP2
hit structure
1:621618 C12H17NO5Si
hit structure
1:621619 C5H6N2O
hit structure
1:621620 C24H37N5O3S3
hit structure
1:621621 C20H29N5O5S
hit structure
1:621622 C23H33N5O7S
hit structure
1:621623 C22H34N4O5S
hit structure
1:621624 C9H17N3OS
hit structure
1:621625 C20H17Cl
hit structure
1:621626 C6H7ClIN
hit structure
1:621627 C8H9NO2
hit structure
1:621628 C22H20O2S
hit structure
1:621629 C16H15F5N2O3S
hit structure
1:621630 C17H24N6O5
hit structure

1
  <<    <    >    >>  

entries in data collection: 622200