Home Browse Text SearchFunctional Group SearchStructure SearchPreferences Administration

selected data collection: 1

IRIS SDF: browse content


1
  <<    <    >    >>  

1:621558 C10H12O5S
hit structure
1:621559 C26H27F4N4NaO10S
hit structure
1:621560 C7H14N2
hit structure
1:621561 C15H12N5NaO7S
hit structure
1:621562 C20H18N2O3S2
hit structure
1:621563 C18H18N6O2
hit structure
1:621564 C27H36N6O7
hit structure
1:621565 C10H10N2O3
hit structure
1:621566 C19H23N9O2
hit structure
1:621567 C24H33N9O6
hit structure
1:621568 C12H21N5O4
hit structure
1:621569 C20H19N7O4
hit structure
1:621570 C31H40N8O9
hit structure
1:621571 C21H21N7O2S2
hit structure
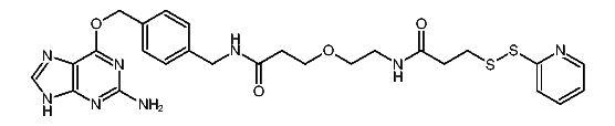
1:621572 C26H30N8O4S2
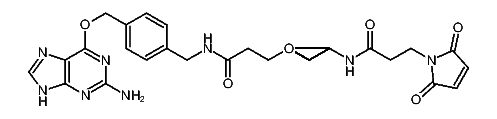
hit structure
1:621573 C34H31N7O3
hit structure
1:621574 C24H22N2O2
hit structure
1:621575 C23H21F9N4O4S
hit structure
1:621576 C21H16F9NO5S
hit structure
1:621577 C35H41F9N4O6S2
hit structure
1:621578 C16H30N4O4S
hit structure
1:621579 C7H7N3O
hit structure
1:621580 C8H4N2O4S
hit structure
1:621581 C12H16N2O5S2
hit structure
1:621582 C5H9N3O2S2
hit structure

1
  <<    <    >    >>  

entries in data collection: 622200