Home Browse Text SearchFunctional Group SearchStructure SearchPreferences Administration

selected data collection: 1

IRIS SDF: browse content


1
  <<    <    >    >>  

1:621037 C33H54F4O15
hit structure
1:621038 C57H102F4O27
hit structure
1:621039 C94H149N5O39
hit structure
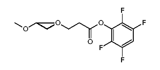
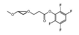
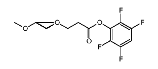
1:621040 C32H52F4O14
hit structure
1:621041 C56H100F4O26
hit structure
1:621042 C58H104F4O27
hit structure
1:621043 C68H114N2O26
hit structure
1:621044 C45H68N2O14
hit structure
1:621045 C25H35F4NO7S2
hit structure
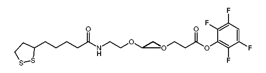
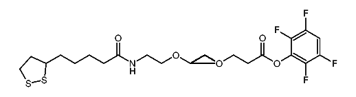
1:621046 C33H51F4NO11S2
hit structure
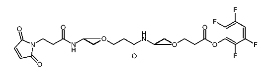
1:621047 C41H67F4NO15S2
hit structure
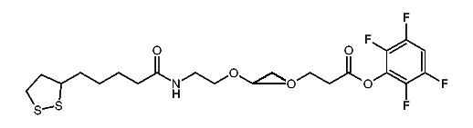
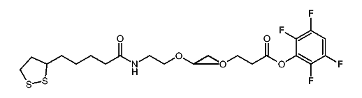
1:621048 C65H115F4NO27S2
hit structure
1:621049 C89H163F4NO39S2
hit structure
1:621050 C66H126N4O26S3
hit structure
1:621051 C20H20F4N2O7
hit structure
1:621052 C24H28F4N2O9
hit structure
1:621053 C32H44F4N2O13
hit structure
1:621054 C40H60F4N2O17
hit structure
1:621055 C64H108F4N2O29
hit structure
1:621056 C88H156F4N2O41
hit structure
1:621057 C115H209F4N3O54
hit structure
1:621058 C19H24BrF4NO7
hit structure
1:621059 C35H56BrF4NO15
hit structure
1:621060 C59H104BrF4NO27
hit structure
1:621061 C44H70N4O18
hit structure

1
  <<    <    >    >>  

entries in data collection: 627830