Home Browse Text SearchFunctional Group SearchStructure SearchPreferences Administration

selected data collection: 1

IRIS SDF: browse content


1
  <<    <    >    >>  

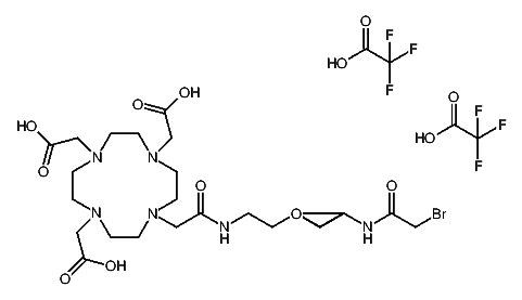
1:621010 C30H49BrF6N6O15
hit structure
1:621011 C118H233N2O46P
hit structure
1:621012 C42H79BrN6O19
hit structure
1:621013 C144H285N2O59P
hit structure
1:621014 C109H205F4NO52
hit structure
1:621015 C25H28O3S
hit structure
1:621016 C103H205NO52
hit structure
1:621017 C78H151BrN6O31
hit structure
1:621018 C117H214N2O53
hit structure
1:621019 C110H210N2O53
hit structure
1:621020 C102H204N2O51
hit structure
1:621021 C28H54Br2N2O13
hit structure
1:621022 C193H296N12O60
hit structure
1:621023 C64H82N4O15
hit structure
1:621024 C93H184NO34P
hit structure
1:621025 C163H299N4O60P
hit structure
1:621026 C159H310N7O65P
hit structure
1:621027 C165H298N3O64P
hit structure
1:621028 C164H319N6O65PS
hit structure
1:621029 C201H390N5O86P
hit structure
1:621030 C237H460N12O112
hit structure
1:621031 C141H256N12O64
hit structure
1:621032 C10H19BrN4O4
hit structure
1:621033 C26H51BrN4O12
hit structure
1:621034 C50H99BrN4O24
hit structure

1
  <<    <    >    >>  

entries in data collection: 627830