Home Browse Text SearchFunctional Group SearchStructure SearchPreferences Administration

selected data collection: 1

IRIS SDF: browse content


1
  <<    <    >    >>  

1:62012 C35H57N5O9S
hit structure
1:62013 C36H58ClN5O10S
hit structure
1:62014 C32H50ClN5O6S
hit structure
1:62015 C39H65N5O7S
hit structure
1:62016 C41H69N5O10S
hit structure
1:62017 C19H17N3O6
hit structure
1:62018 C21H21N3O7
hit structure
1:62019 C23H25N3O8
hit structure
1:62020 C27H33N3O10
hit structure
1:62021 C28H36N4O5S
hit structure
1:62022 C30H40N4O6S
hit structure
1:62023 C32H44N4O7S
hit structure
1:62024 C14H17F2NO4
hit structure
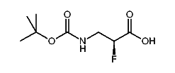
1:62025 C8H14FNO4
hit structure
1:62026 C8H14FNO4
hit structure
1:62027 C28H36F2N2O8
hit structure
1:62028 C20H21F2NO4
hit structure
1:62029 C14H16F9NO5
hit structure
1:62030 C14H16F9NO5
hit structure
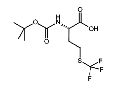
1:62031 C10H16F3NO4S
hit structure
1:62032 C10H17N3O4
hit structure
1:62033 C16H28N4O6
hit structure
1:62034 C11H19N3O4
hit structure
1:62035 C10H15N3O4
hit structure
1:62036 C10H16N4O4
hit structure

1
  <<    <    >    >>  

entries in data collection: 126570