Home Browse Text SearchFunctional Group SearchStructure SearchPreferences Administration

selected data collection: 1

IRIS SDF: browse content


1
  <<    <    >    >>  

1:615918 C22H19N3O7S2
hit structure
1:615919 C58H62N8O5S
hit structure
1:615920 C18H20N6O4
hit structure
1:615921 C57H62N6O5S
hit structure
1:615922 C27H21N3O7S2
hit structure
1:615923 C29H39N9O4S
hit structure
1:615924 C28H39N7O4S
hit structure
1:615925 C22H26F5N3O4S
hit structure
1:615926 C8H10S2
hit structure
1:615927 C15H16N2O3S2
hit structure
1:615928 C10H12O5S
hit structure
1:615929 C26H27F4N4NaO10S
hit structure
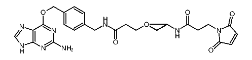
1:615930 C7H14N2
hit structure
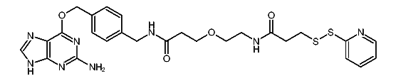
1:615931 C15H12N5NaO7S
hit structure
1:615932 C20H18N2O3S2
hit structure
1:615933 C18H18N6O2
hit structure
1:615934 C27H36N6O7
hit structure
1:615935 C10H10N2O3
hit structure
1:615936 C19H23N9O2
hit structure
1:615937 C24H33N9O6
hit structure
1:615938 C12H21N5O4
hit structure
1:615939 C20H19N7O4
hit structure
1:615940 C31H40N8O9
hit structure
1:615941 C21H21N7O2S2
hit structure
1:615942 C26H30N8O4S2
hit structure

1
  <<    <    >    >>  

entries in data collection: 616570