Home Browse Text SearchFunctional Group SearchStructure SearchPreferences Administration

selected data collection: 1

IRIS SDF: browse content


1
  <<    <    >    >>  

1:6135 C14H18N4O8 C14H18N4O8 C14H18N4O8 C14H18N4O8
hit structure
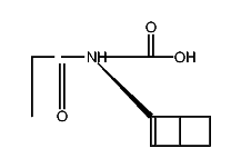
1:6136 C16H22N2O6 C16H22N2O6 C16H22N2O6 C16H22N2O6
hit structure
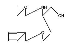
1:6137 C8H16N2O4 C8H16N2O4 C8H16N2O4 C8H16N2O4 C8
hit structure
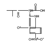
1:6138 C22H24N2O6 C22H24N2O6 C22H24N2O6 C22H24N2O6
hit structure
1:6139 C8H15NO4S C8H15NO4S C8H15NO4S C8H15NO4S C8
hit structure
1:6140 C19H30N2O6 C19H30N2O6 C19H30N2O6 C19H30N2O6
hit structure
1:6141 C17H24N2O6 C17H24N2O6 C17H24N2O6 C17H24N2O6
hit structure
1:6142 C12H20N2O6 C12H20N2O6 C12H20N2O6 C12H20N2O6
hit structure
1:6143 C12H20N2O6 C12H20N2O6 C12H20N2O6 C12H20N2O6
hit structure
1:6144 C18H28N2O6 C18H28N2O6 C18H28N2O6 C18H28N2O6
hit structure
1:6145 C14H18N4O8 C14H18N4O8 C14H18N4O8 C14H18N4O8
hit structure
1:6146 C16H22N2O6 C16H22N2O6 C16H22N2O6 C16H22N2O6
hit structure
1:6147 C8H16N2O4 C8H16N2O4 C8H16N2O4 C8H16N2O4 C8
hit structure
1:6148 C23H26N2O6 C23H26N2O6 C23H26N2O6 C23H26N2O6
hit structure
1:6149 C14H24N2O6 C14H24N2O6 C14H24N2O6 C14H24N2O6
hit structure
1:6150 C13H17NO4 C13H17NO4 C13H17NO4 C13H17NO4 C1
hit structure
1:6151 C25H32N4O7 C25H32N4O7 C25H32N4O7 C25H32N4O7
hit structure
1:6152 C18H21NO4 C18H21NO4 C18H21NO4 C18H21NO4 C1
hit structure
1:6153 C17H20N2O5 C17H20N2O5 C17H20N2O5 C17H20N2O5
hit structure
1:6154 C18H23N3O6S C18H23N3O6S C18H23N3O6S C18H23N
hit structure
1:6155 C14H18ClNO4 C14H18ClNO4 C14H18ClNO4 C14H18C
hit structure
1:6156 C12H23NO4 C12H23NO4 C12H23NO4 C12H23NO4 C1
hit structure
1:6157 C20H30N2O6 C20H30N2O6 C20H30N2O6 C20H30N2O6
hit structure
1:6158 C14H19NO4 C14H19NO4 C14H19NO4 C14H19NO4 C1
hit structure
1:6159 C17H25NO5 C17H25NO5 C17H25NO5 C17H25NO5 C1
hit structure

1
  <<    <    >    >>  

entries in data collection: 121538