Home Browse Text SearchFunctional Group SearchStructure SearchPreferences Administration

selected data collection: 1

IRIS SDF: browse content


1
  <<    <    >    >>  

1:611631 C10H17NO4S
hit structure
1:611632 C13H17NO4
hit structure
1:611633 C13H17NO4
hit structure
1:611634 C8H15NO5
hit structure
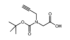
1:611635 C10H17NO4
hit structure
1:611636 C10H15NO4
hit structure
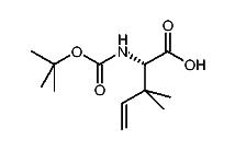
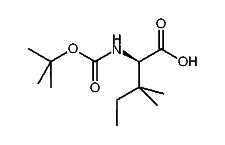
1:611637 C10H17NO4
hit structure
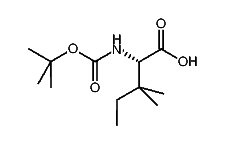
1:611638 C10H17NO4
hit structure
1:611639 C17H27NO4
hit structure
1:611640 C28H38N2O10
hit structure
1:611641 C28H38N2O10
hit structure
1:611642 C30H42N2O8
hit structure
1:611643 C12H23NO4
hit structure
1:611644 C12H23NO4
hit structure
1:611645 C12H21NO4
hit structure
1:611646 C12H21NO4
hit structure
1:611647 C12H21NO4
hit structure
1:611648 C15H26N2O4
hit structure
1:611649 C13H23NO4
hit structure
1:611650 C14H25NO4
hit structure
1:611651 C11H19NO5
hit structure
1:611652 C9H15NO6
hit structure
1:611653 C14H23NO4
hit structure
1:611654 C9H14F3NO4
hit structure
1:611655 C11H19NO6
hit structure

1
  <<    <    >    >>  

entries in data collection: 616570