Home Browse Text SearchFunctional Group SearchStructure SearchPreferences Administration

selected data collection: 1

IRIS SDF: browse content


1
  <<    <    >    >>  

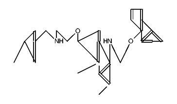
1:6085 C47H44N2O6 C47H44N2O6 C47H44N2O6 C47H44N2O6
hit structure
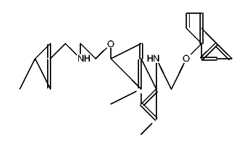
1:6086 C47H44N2O6 C47H44N2O6 C47H44N2O6 C47H44N2O6
hit structure
1:6087 C52H44ClNO7 C52H44ClNO7 C52H44ClNO7 C52H44C
hit structure
1:6088 C52H44ClNO7 C52H44ClNO7 C52H44ClNO7 C52H44C
hit structure
1:6089 C40H38N2O6 C40H38N2O6 C40H38N2O6 C40H38N2O6
hit structure
1:6090 C40H38N2O6 C40H38N2O6 C40H38N2O6 C40H38N2O6
hit structure
1:6091 C40H38N2O6 C40H38N2O6 C40H38N2O6 C40H38N2O6
hit structure
1:6092 C15H16O2 C15H16O2 C15H16O2 C15H16O2 C15H16
hit structure
1:6093 C25H20N2O4S C25H20N2O4S C25H20N2O4S C25H20N
hit structure
1:6094 C38H33NO5S C38H33NO5S C38H33NO5S C38H33NO5S
hit structure
1:6095 C37H31NO4S C37H31NO4S C37H31NO4S C37H31NO4S
hit structure
1:6096 C37H31NO4S C37H31NO4S C37H31NO4S C37H31NO4S
hit structure
1:6097 C39H34N2O5 C39H34N2O5 C39H34N2O5 C39H34N2O5
hit structure
1:6098 C24H27NO6 C24H27NO6 C24H27NO6 C24H27NO6 C2
hit structure
1:6099 C17H15NO4 C17H15NO4 C17H15NO4 C17H15NO4 C1
hit structure
1:6100 C40H32ClN3O4 C40H32ClN3O4 C40H32ClN3O4 C40H
hit structure
1:6101 C40H32ClN3O4 C40H32ClN3O4 C40H32ClN3O4 C40H
hit structure
1:6102 C41H35N3O5 C41H35N3O5 C41H35N3O5 C41H35N3O5
hit structure
1:6103 C41H35N3O5 C41H35N3O5 C41H35N3O5 C41H35N3O5
hit structure
1:6104 C20H18FNO4 C20H18FNO4 C20H18FNO4 C20H18FNO4
hit structure
1:6105 C21H18F3NO4 C21H18F3NO4 C21H18F3NO4 C21H18F
hit structure
1:6106 C27H24FNO4 C27H24FNO4 C27H24FNO4 C27H24FNO4
hit structure
1:6107 C26H30N2O6 C26H30N2O6 C26H30N2O6 C26H30N2O6
hit structure
1:6108 C27H32N2O6 C27H32N2O6 C27H32N2O6 C27H32N2O6
hit structure
1:6109 C27H32N2O6 C27H32N2O6 C27H32N2O6 C27H32N2O6
hit structure

1
  <<    <    >    >>  

entries in data collection: 121538