Home Browse Text SearchFunctional Group SearchStructure SearchPreferences Administration

selected data collection: 1

IRIS SDF: browse content


1
  <<    <    >    >>  

1:604987 C31H37NO6
hit structure
1:604988 C32H39NO6
hit structure
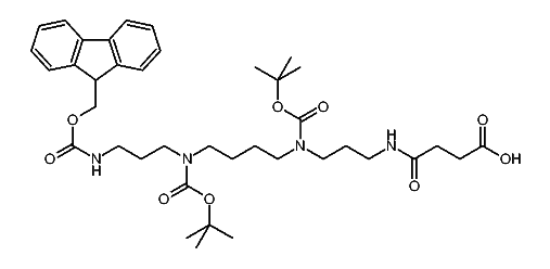
1:604989 C37H41NO6
hit structure
1:604990 C29H33NO5
hit structure
1:604991 C40H42N2O7
hit structure
1:604992 C89H91N7O14
hit structure
1:604993 C96H98N8O15
hit structure
1:604994 C25H50N4O6
hit structure
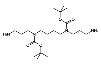
1:604995 C20H42N4O4
hit structure
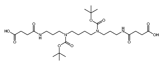
1:604996 C39H56N4O9
hit structure
1:604997 C10H24N6
hit structure
1:604998 C31H58N4O10
hit structure
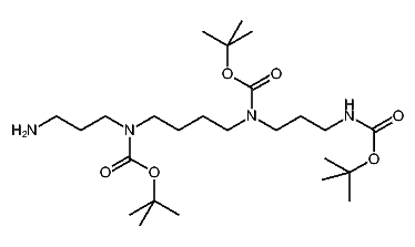
1:604999 C20H42N4O4
hit structure
1:605000 C10H22N8
hit structure
1:605001 C29H54N4O9
hit structure
1:605002 C25H48N6O6
hit structure
1:605003 C28H50N4O10
hit structure
1:605004 CH2Cl2
hit structure
1:605005 C3H7NO
hit structure
1:605006 C4H10O
hit structure
1:605007 C3H2F6O
hit structure
1:605008 C5H9NO
hit structure
1:605009 C5H11N
hit structure
1:605010 C2HF3O2
hit structure
1:605011 C2H3F3O
hit structure

1
  <<    <    >    >>  

entries in data collection: 605310