Home Browse Text SearchFunctional Group SearchStructure SearchPreferences Administration

selected data collection: 1

IRIS SDF: browse content


1
  <<    <    >    >>  

1:601632 C26H32N2O6
hit structure
1:601633 C22H26N2O4
hit structure
1:601634 C24H19F2NO4
hit structure
1:601635 C18H16FNO4
hit structure
1:601636 C18H16FNO4
hit structure
1:601637 C48H40F2N2O8
hit structure
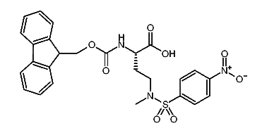
1:601638 C26H25N3O8S
hit structure
1:601639 C30H23F2NO4
hit structure
1:601640 C26H25N3O8S
hit structure
1:601641 C24H18F9NO5
hit structure
1:601642 C24H18F9NO5
hit structure
1:601643 C20H18F3NO4S
hit structure
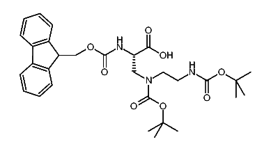
1:601644 C30H39N3O8
hit structure
1:601645 C20H19N3O4
hit structure
1:601646 C26H30N4O6
hit structure
1:601647 C21H21N3O4
hit structure
1:601648 C20H17N3O4
hit structure
1:601649 C20H18N4O4
hit structure
1:601650 C24H24N2O6
hit structure
1:601651 C35H40N4O8
hit structure
1:601652 C32H43N3O7
hit structure
1:601653 C37H49N5O7S
hit structure
1:601654 C25H32N2O4
hit structure
1:601655 C25H32N2O4
hit structure
1:601656 C43H43N3O6
hit structure

1
  <<    <    >    >>  

entries in data collection: 605310