Home Browse Text SearchFunctional Group SearchStructure SearchPreferences Administration

selected data collection: 1

IRIS SDF: browse content


1
  <<    <    >    >>  

1:59680 C29H36Cl2N6O3
hit structure
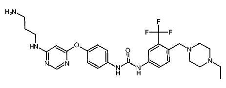
1:59681 C28H35F3N8O2
hit structure
1:59682 C26H23F3N4O4
hit structure
1:59683 C26H23F3N4O4
hit structure
1:59684 C21H20Cl2N4O3
hit structure
1:59685 C21H20Cl2N4O3
hit structure
1:59686 C21H17FN4
hit structure
1:59687 C20H20N4O2
hit structure
1:59688 C95H142N26O23S2
hit structure
1:59689 C57H78N12O16
hit structure
1:59690 C17H21N3O4S
hit structure
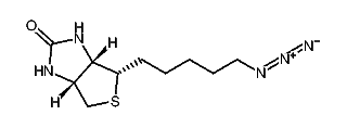
1:59691 C13H22N6O2S
hit structure
1:59692 C16H22N4O4S
hit structure
1:59693 C17H24N4O2S3
hit structure
1:59694 C28H45N5O6S3
hit structure
1:59695 C12H21N3O2S2
hit structure
1:59696 C23H42N4O6S2
hit structure
1:59697 C28H30N4O3S
hit structure
1:59698 C20H25N7O2S
hit structure
1:59699 C31H46N8O7S
hit structure
1:59700 C10H17N5OS
hit structure
1:59701 C12H18N2OS
hit structure
1:59702 C10H17N3O2S
hit structure
1:59703 C27H46O
hit structure
1:59704 C23H30N4O2S
hit structure

1
  <<    <    >    >>  

entries in data collection: 86314